耐热PVC的应用研究
针对PVC的耐热研究,其中主要来自于PVC本身的结构缺陷所影响。产量上PVC的年产量在四大通用合成树脂(聚乙烯、聚氯乙烯、聚丙烯、聚苯乙烯)中,仅次于聚乙烯而居第二位。并且其具有比其他塑料更优异性能特点,比如难燃性、耐磨性、抗化学腐蚀性、气体水汽低渗透性好。还有综合机械性能、制品透明性、电绝缘性、隔热、消声、消震性也好,是性能价格比最为优越的通用性材料。众多优点中但PVC存在结构上的缺陷和不足,PVC热稳定性较差,PVC的熔融温度约为200℃,在100℃分解放出氯化氢,高于150℃时分解加快。
加工过程易分解放出氯化氢,致使塑料制品变色、性能下降;通用PVC树脂的维卡软化点只有80℃左右,热变形温度在70℃左右。
同时这也缺点严重损害PVC的商品形象,限制其使用范围和市场规模的进一步扩大。为改善扩大PVC的使用范围与性能,最先运用小分子增塑剂来改善加工性,但是增塑剂易于在加工和使用过程发生熔出和迁移,不但会污染环境,同时使得制品使用价值丧失。为克服上述缺点,相继开发出各种助剂,如ABS、MBS、CPE、ACR。助剂添加基本上解决PVC的抗冲性和加工性的问题,但耐热的问题仍未得到实质性解决。例如建筑业中,耐热性的好与坏是由于外部因素(光、水、日光、建筑强度的要求等等)决定的,通常的情况下PVC材料耐热性差,产品在日光的曝晒下易引起热膨胀,使材料产生变形和裂缝,造成严重的质量问题。当其运用在温水管材料时,由于软化、变形和破裂导致其无法使用。PVC树脂另一大缺陷是耐冲击性差,由于耐冲击性差,在安装和切断时,材料容易破损,同时使用过程中的制品也因为碰撞而损坏。[1]为了提高其抗冲性,齐鲁石化公司研究院研制开发了3个牌号的PVC抗冲剂,解决了PVC的抗冲问题。为进一步拓宽PVC的使用范围,扩大PVC的市场规模,增强齐鲁石化公司在PVC市场中的竞争力,研究院在PVC抗冲剂的研制基础上,又开始提高PVC维卡软化点耐热改性剂的研制工作。
本文主要内容为介绍和针对共混改性耐热聚氯乙烯的制备研究。阐述共混改性过程两种具体而又简单物理共混过程,还有化学交联和辐射交联过程。顾名思义两种方式的过程中的变化是不同的,其中简单的物理共混,就是将各种
填料和高耐热型的树脂加入其中得到具有更好耐热性能的PVC 树脂。另外一种就是将简单的化学反应引入到PVC 大分子链中,对其进行接枝与交联反应。
其中辐射交联属于将树脂在放射源下破坏其分子链达到目的。辐射交联是最早采用PVC 交联方法之一 ,也是使用最广泛的交联方法。多国已用此法生产辐射交联的PVC 绝缘电线。普通PVC 材料通过辐射并不发生交联,则主要发生
[2]脱氯化氢反应与降解反应,产生共扼双键使品变色。Rnenr 与Miler 首先发现,多官能团不饱和单体能强化PVC 辐射下的交联反应,使得PVC 辐射交联成为可能。多官能团不饱和单体主要包括三羟甲基丙烷三甲基丙烯酸醋(TMPTMA)、三羟甲基丙烷三丙烯酸醋 (TMPTA)、三烯丙基异腈尿酸酯(TAIC)、三烯丙基腈尿酸酯(TAC)、二甲基丙烯酸四甘醇酯(TEGDM)、二丙烯酸四甘醇酯 (TEGDA)、二缩三丙二醇二丙烯酸酯(TPGDA)、二丙二醇二丙烯酸酯(DPGDA)等。
PVC 辐射交联一般以60Co-γ射线或高能电子(EB)射线为辐照源、多官能团不饱和单体为交联剂, 交联反应为自由基反应,PVC 在辐射作用下C-CI 键断裂, 形成自由基活性中心, 多官能团 不饱和单体在辐射引发下优先产生 自由基并 自聚,同时接枝到PVC 长链自由基上, 基本的交联结构PVC-(交联剂)-PVC 。 VKSHARMA [3]人等采用电子束(BE)辐射交联软PVC, 研究3种交联剂—TMPTA 、TEGDM 及TEGDA 对软PVC 的交联速率及热稳定性能的影响, 以三盐基硫酸铅(BTSL)作为体系的稳定剂。结果表明,5%TMPTA的交联效果最好, 当凝胶质量分数60%时, 其拉伸强度达到23.5MPa ,较未交联时提高7%左右,同时交联软PVC 的体积电阻系数、分解温度也能够得到明显的提高。Ratnam [4]等采用同样的辐射交联方法, 采用TMPTA 交联硬PVC, 以TBSL 作为体系的稳定剂, 研究辐射剂量在20-200kGy 时, 其凝胶含量与硬PVC 的拉伸强度、硬度的关系同时测定了辐射剂量在l00kGy 时的Tg, 并通过FTIR 分析证实了通过电子束辐射的方法能够有效地避免降解反应的发生。研究发现, 当辐射剂量100kGy 时, 其凝胶质量分数达到85% ,此时交联硬PVC 的Tg 较未交联试样提高2.5℃。同时, 通过对辐射交联硬PVC 的性能研究表明, 采用适当用量 ( 4 % )的交联剂交联的硬PVC 试样的拉伸强度、硬度都得到明显提高, 当凝胶质量分数达到80%时, 其拉伸强度达到最大值5MPa ,较未交联时提高30%。此时, 硬 PVC的硬度也提高13%左右, 并随着凝胶质量分数的增加呈不断上升的趋势。
PVC 的辐射交联是非常复杂的反应, 主要包PVC 交联、降解、脱HCI 等。各种因素对PVC 辐射交联的影响都是通过影响三者间的竞争关系来实现的。PVC 辐射交联反应过程受多种因素影响:辐射剂量、辐射温度、反应氛围、交联剂、增塑剂、填料与加工助剂。辐射交联法与化学交联法相比具有很多优点, 在电线电缆行业中得到广泛应用[5]。辐射交联P VC产品性能优异, 且生产效率高, 节省能源, 无环境污染。随着人们对环境问题的关注及辐射技术的进步,PVC 辐射交联技术必将越来越引起人们的注意。
一.聚氯乙烯耐热共混的研究
针对耐热树脂CPVC 的共混研究,通常PVC 的耐热性能较低,人们想到将其氯化得到的产物就是CPVC 。得到的CPVC 在耐热性能上较PVC 来说温度有所提升,但在价格上和加工性能上较贵,具体加工中的分解温度下,往往分解的过程会产生大量的氯化氢气体,降解影响更大且对机器的损伤更大。另一个方面将其与PVC 进行共混时,温度相对于单纯的PVC 树脂料来说,温度提升明显。当CPVC 与PVC 比例小于1:3时温度基本无变化、当其比例超过1:3时温度得到明显提升、其比例超过1:1时温度得到迅速提升。如果反过来想,如果将CPVC 作为主要树脂来说,加入一定量的PVC 得到的合成可以对比与上述的共混具有更大的耐热效果。 PVC树脂经氯化,含氯量(质量分数) 由56-79%提高61%-68%时,CPVC 玻璃化温度、软化温度和热变形温度上升。CPVC 维卡软化温度可比PVC 树脂提高20-400℃PVC 硬管制品安全使用温度不超过60℃,而CPVC 硬管制品可在接近100℃温度下长期使用。因此,CPVC 是能在较高温度和较高内压下长期使用的为数不多的聚合物之一;CPVC 的抗拉强度比PVC 提高百分之五十一左右;CPVC 也具有优异的耐化学药品性,尤其是在较高温度下,CPVC 仍有很好的耐一酸、耐碱、耐化学药品性,其耐腐蚀性能远高于PVC 和其他树脂;CPVC 具有优异的阻燃自熄性,它比一般PVC 树脂有更好的耐燃性;CPVC 具有较低的热传导率,用CPVC 制成的耐热管道可免除隔热护层。[6]
比较经典的耐热共混是将MBS 和ABS 作为分别单一的组分进行共混,由于两种和PVC 的相容性较差,混合过程中加入一些其他助剂帮助混合的相容性更好,更加有利于生产和物质性质的表现。尽管解决其中的问题,但对于主要目的耐热性而言比较差,相对与原来单纯的树脂还是有所提高的。对于这类的物质来说本身就是一个大分子的聚合物将其填充到PVC 料中,过程往往很简单,但是量过于大时得到的产物会具有分相的结果,导致加工与对原来物性影响较大。且PVC/ABS维卡软化温度随ABS 的加入量基本成正比例提高, 但由于 ABS 树脂含有不饱和双键, 其热稳定性及抗氧性不良, 故须加入一些起保护作用的抗氧剂及铅盐类热稳定剂。
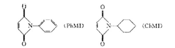
马来酰亚胺(MI )类共混,具体开始于上个世纪。单纯的马来酰亚胺(MI )类共混具体包括两种马来酰亚胺(MI )物质:

N一苯基马来酸亚胺((PhMI) N一环己基马来酸亚胺(ChMI)
马来酰亚胺(MI)及其衍生物是一类刚性耐热单体, 能够进行自聚, 其均聚物开始热失重温度为220~400℃ ,是一种耐热高分子材料。在N-取代马来酰亚胺中N-苯基马来酰亚胺(PhMI)和N-环己基马来酰亚胺(ChMI)是两种重要的树脂改性剂, 前者的改性效果好, 成本相对较低, 后者的熔点较低, 在聚合物和单体中的溶解性好, 可用于聚氯乙烯树脂的耐热改性。具体方法之一是将N —取代马来酰亚胺与氯乙烯共聚制得N —取代马来酰亚胺共聚改性PVC 树脂。这种树脂的综合性能比通用PVC 和CPVC 要好得多。比如N —环已烷取代马来酰亚胺共聚改性PVC 树脂中的N —环已烷取代马来酰亚胺的含量每增加1%,其热变形温度将增加1℃, 并且不影响其加工性能。另外就是将其合成以N —取代马来酰亚胺、MMA 、苯乙烯、丙烯腈等为主要成分的共聚物, 作为提高热变形温度的改性剂, 将其与PVC 共混以提高PVC 的使用温度。这种改性剂的主要成分也是N —取代马来酰亚胺和MMA, 不同之处在于N —取代马来酰亚胺的含量高达60%以上, 在100份通用PVC 中每添加1份该改性剂可使树脂的维卡软化点提高1.5℃[7]。一般说来, 采用共聚方法改性的PVC 树脂其热变形温度虽然高, 但是成型加工时的热稳定性较差。而采用共混的方法改性PVC 树脂时, 若要大幅度地提高树脂的耐热性, 必然要牺
牲其加工性和抗冲性。[8]为了解决这些矛盾, 日本油脂股份有限公司采取了接枝共聚的方法, 也就是在N —取代马来酰亚胺聚合物的存在下, 进行氯化聚氯乙烯的聚合。这样N —取代之间既有相互交叉贯穿的物理混合, 又有接枝共聚的化学结合, 与共聚改性PVC 树脂和共混改性PVC 树脂具有完全不同的内在结构。为了改善耐热PVC 树脂透明性, 日本[9]合成橡胶股份有限公司将PVC 与用乳液聚合法制得的N —取代马来酰亚胺、苯乙烯、MMA 三元共聚物以及粒径在0.3μm 以下的橡胶含量为45%~80%的MMA 改性ABS 共混, 得到了透明性、耐热性、抗冲性综合性能良好的树脂。例如, 由55份PVC, 35份MMA-St-ChMI(25∶35∶40) 三元共聚树脂, 和10份MMA 改性ABS 树脂组成的共混料可挤塑成制品的抗冲性、透明性与通用PVC 相当是其热变形温度却提高了近20℃。
马来酸酐类的共混是将马来酸酐与苯乙烯等单体的共聚物(SMA)得到是一种性能优异的耐热改性剂。SMA 的聚合方法有溶液聚合、本体聚合及本体-悬浮聚合法。合成方法对SMA 的热性能影响很大。采用本体聚合可得到具有最佳热性能、高分子质量SMA 。由于SMA 分子中含有羰基和五元环上的一个孤对电子的氧, 不但提高SMA 的耐热性, 还可与聚氯乙烯树脂发生相互作用, 促进了相容性, 因此SMA/PVC共混物具有较高的耐热性、冲击性和加工性[10]。20世纪80年代, 美、德、日等国先后针对聚氯乙烯合金的耐热性、熔体粘度等缺陷, 开展了SMA/PVC合金的研究开发工作。当聚氯乙烯和SMA 共混时, 随着SMA 含量的增加, 共混合金的耐热性变好, 其负荷下的耐热变形温度高达85℃以上, 比硬质聚氯乙烯树脂的耐热变形温度提高了5~8℃, 维卡软化点提高了12℃, 降低了熔融粘度, 提高了熔融流动性。在SMA 含量一定的情况下, 随着MA 含量的增加, 合金的动态热稳定性能也有所提高[11]。近年来, 美国孟山都公司开发了以SMA 为基础的耐热改性剂Elix300, 在聚氯乙烯中添加30%的SMA 可使维卡软化点提高到104℃。PVC 100份、SMA 110份、有机锡4份、硫醇盐2份混合而成组合物, 其维卡软化点为113℃,220℃的炭化时间为20 min, 而纯的PVC 和稳定剂的组成物只有82℃和10 min。此外还可用橡胶改性SMA, 再与PVC 混合, 例如Doak 的两篇专利(US4469844、US4551500) 所得混合物的热变形温度可达88℃, 同时还有较高的冲击强度。另外,EnBACO(乙烯-丙烯酸酯-一氧化碳共聚物) 及EnBACO-g-MAH(EnBACO接枝马来酸酐) 作为增容剂。马来酸酐与苯乙烯等单体的共聚物(SMA)是一种性能优异的耐热改性剂。
无机填料的共混则和CPVC 的共混类似,简单的加入其中,但是不同的是CPVC 是有机的树脂可以不用过多的考虑其相容性的问题。对比与无机的填料来说加入其中的量的多少、不同是形状、不同的粒径大小等等都会影响到后期的加工和产品的使用上面,往往来说其中无机量的大小也影响到了企业的成本的关键问题。CaCO 3、凹凸棒土及BaSO 4等无机填料一般均有较高的熔融温度,将其与 PVC共混可以在一定程度上提高PVC 的耐热性,而且无机填料具有来源广、价格低廉及性能稳定等优点,在工业中得以广泛应用。虽然无机填料能改善 PVC的耐热性能,但其与PVC 树脂的相容性差,添加量过多时,PVC 树脂大分子的取向被打破,容易产生银纹、裂纹等缺陷,拉伸强度、弯曲强度和冲击强度均有不同程度降低。
比较多数的添加无机填料有:单纯的碳酸钙共混及、碳酸钙经钛酸酯偶联剂处理(CaCO3+CPE+PVC)体系、改性CaCO3使其成为具有核壳结构、N. Shimpi 等[12]选用不同粒径的纳米CaCO3制 备PVC/CaCO3复合材料,并研究了不同粒径的纳米CaCO3在PVC 中的分散性及对复合材料耐热性能和力学性能的影响。结果表明,当选用9nm 的纳米CaCO3填充时,复合材料的性能最佳。在PVC/CPE共混体系中加入经钛酸酯偶联剂处理后的碳酸钙可明显改善原体系的强度, 当碳酸钙的填充量达到15份和30份时, 体系的维卡软化点可分别达到93℃和120℃[13]。硅酸盐类包括凹凸棒、云母、高岭土(SFKF)、高岭土。钱运华等[14]选用凹凸棒土填充硬质PVC ,研究不同含量的凹凸棒土对PVC 耐热性能的影响。结果表明,当凹凸棒土含量由 0 增加到 10 份时,共混物的微卡温度由74.3℃上升到86.5℃;当凹凸棒土含量超过 10 份时,共混物的微卡温度下降,耐热性变差。L.M.Matuana [15]分别将未改性的钠基蒙脱土(Na–MMT) 和有机改性的蒙脱土(Org–MMT) 在 PVC成型的四个不同阶段与PVC 共混, 制备PVC/层状硅酸盐纳米复合材料。结果表明,在成型中的熔融阶段添加填料时,PVC/层状硅酸盐纳米复合材料的热稳定性最佳;PVC/Na–MMT 复合材料比 PVC/Org–MMT 复合材料有更好的热稳定性。朱宝宁等[16]考察不同长度和用量的GF (玻璃纤维)对PVC 耐热性的影响。结果表明, 长度为50mm 的GF 对PVC 材料的改性效果明显好于长度为 3mm的GF ;当50 mm 长的GF 含量由0份增加到20份时,复合材料的维卡温度由 86.8℃升高到 113.4℃,耐热性得到了很大提高。硫酸盐类包括BaSO4和 CaSO4 。例如PVC/甲基丙烯酸甲酯-丁二烯-苯乙烯共聚物(MBS)/纳米 BaSO4三元复合材料。
二.聚氯乙烯交联耐热的研究
从前文中介绍到通过辐射交联制备具有耐热性能较好的PVC 材料。但其中远远不是想象之中的简单的辐照即可,对于简单的辐射加上一般的PVC 料往往得到的是降解的PVC ,具体为其中碳链中氯脱去外观的表现为色质的变化泛黄。通过前人的探索PVC 的辐射交联中一般加入多功能团的不饱和单体,来将其中打开的键位进行连接,从而得到性质较好的耐热PVC 材料。
过氧化物的交联同辐射交联的来源不同,辐射交联来自于放射源的能量使得键位打开,将不饱和单体的官能团引入。相对于过氧化物来说,其实就是通过过氧基团打开碳链中的键位,然后将自己接枝在大分子PVC 链上,后自己将其各个分子链连接起来,得到具有交联的PVC 物料。对于一般的过氧化物来说为有机类的过氧化合物,优点对PVC 的加工和其性能的影响较小,而且可以达到耐热树脂的要求[17]。
以上3种自由基中,(B)更容易引发沿PVC 大分子链的脱HCI 反应, 造成PVC 的降解与着色。
三嗪化合物的交联与硅烷偶联剂的交联,两者大都情况是通过硅烷亲核取代反应, 取代 PVC大分子链上的氯原子,从而在PVC 大分子链上引人可水解的硅烷基团, 然后经水解反应制备交联 PVC 。在硅烷的分子结构(R-Si-(OCH3) 3)中,R 取代基团的结构是影响接枝和交联反应的主要因素,R 是含琉基或氨基的烷基。有研究表明 , 铅盐稳定剂可使琉基硅烷的琉基转变为高亲核能力的硫负离子 , 从而使接枝反应得以发生除采用琉基硅烷法交联PVC 外。同时也要考虑影响交联速率和结构的因素有:PVC的配方、硅烷的结构和用量、稳定剂种类和用量、增塑剂含量和水解催化剂含量、加工温度、加下时间等;水解交联条件,包括水解交联环境、时间和温度等。对于三嗪化合物则可以采用二琉基三嗪化合物制得交联PVC 多琉基化合物通过琉基的亲核取代作用 , 分别夺取PVC 分子链上的活泼氯原子, 接枝在PVC 上的多琉基化合物通过琉基将不同PVC 分子链连接起来, 形成交联网络。Gilber 等则对氨基硅烷交联PVC 进行了研究,探讨了水解交联条件对交联动力学(凝胶含量随时间的变化) 的影响,结合水扩散过程的影响,得到交联反应速率常数;同时研究了硅烷交联剂含量、混炼温度和时间、稳定体系等对交联程度和产物性能的影响,得到了耐热性能良好的软、硬质PVC [18]。
上述的交联反应是通过加入过氧化合物、硅烷偶联剂、三嗪化合物或者辐射条件下的得到的交联产物,往往得到的性能较为优异、结构稳定。但缺点也十分明显,所得到的交联物质往往结构非常稳定,对于产品后期的回收加工业非常的繁琐,几乎不能得到二次的利用,对资源也是非常的浪费。随着发展的趋势上述方法往往会被淘汰,随之后来的方法会对热可逆交联得到了发展的契机。现在对于热可逆交联主流有5个方向异氰酸脂与活泼H 的反应体系、吖内脂与苯酚体系、Diels-Alder 反应体系、酸酐与醇的脂化反应体系、季铵化反应体系。其中研究较为广泛两种Diels-Alder 反应体系与季铵化反应体系,Diels-Alder 反应体系通过环戊二烯(CPD )的Diels-Alder 反应合成了含有端环戊二烯基的硫醇盐,将其作为既可以取代聚合物链上氯原子,又可通过环戊二烯的Diels-Alder 反应的可逆性作为可以使含氯聚合物室温交联、高温解交联的交联剂。与烯丙基氯反应,抑制其着色,起到了一定的稳定作用, 同时利用双环戊二烯(DCPD)与环戊二烯(CPD)的热可逆转变特性,制备了遇热可解交联的热可逆共价交联型软PVC [19]。
季铵化反应体系通过二胺的烷基化反应, 制备了不同链长的二叔胺, 利用二叔胺与聚氯乙烯(PVC)链上的活性氯形成季铵盐离子键的反应, 制备了具有离子型热可逆交联特性的 PVC。PVC 的热分解往往是从活性很高的烯丙基氯或者叔氯的脱氯释放HCl 开始的, 叔胺具有可以与活泼氯反应生成含氯季铵盐的特性。
本研究合成的二叔胺为端叔胺, 均可以与PVC 活性氯反应, 实现不同高分子链间的交联, 这种季铵盐离子型交联对温度敏感, 具有在材料的使用温度下处于交联状态, 在塑炼加工温度下受热解交联的热可逆特性, 故而有着良好的塑炼加工能力[20] 。
胺类物质对交联后对PVC 物性的影响随着加入份数的增加, 对PVC 的断裂伸长率有明显影响不同的胺类物质增加至不同的份数时, 断裂伸长率均达到极大值, 说明此时交联比较充分, PVC链上的烯丙基活性Cl 基本上与交联剂反应完全;当交联剂份数继续增加时, 由于未参与交联反应的胺物质可能对PVC 起到了诱导分解作用, 反而使其降低。还有由于分子链的碳原子数较多, 分子链较长, 有更高的自由度, 与活性Cl 有更充分的结合机会。PVC 被交联后能有效地阻止高分子链的滑脱和样品中微裂缝的扩展, 使断裂伸长率明显提高。另外,随着交联剂用量的增加,PVC 的断裂强度有所提高。胺类物质为交联剂时,试样的断裂强度比未交联试样提高。随着交联剂到达合适量时,试样的断裂强度提高。可见交联剂种类和用量不同, 对试样断裂强度的影响程度不同。
反应温度的控制因素, 提高反应温度能提高凝胶含量, 但是对于PVC 的加工特性, 温度过高, 会出现热分解, 导致试样老化、变色。应采用高温短时间或者是温度稍低, 使塑化时间加长。在一定的塑化温度范围内, 延长反应时间, 可以使凝胶含量明显增加, 说明延长反应时间有利于交联反应。在塑化时间一定时, 交联产物的凝胶量与塑化温度存在密切关系, 随着温度的提高,凝胶含量明显增加。
最后,对于PVC 的耐热研究,两种大的方向都具有各自的优点,和自己的弊端。针对简单的共混过程比较具有操作性、原理简单、价格优势高;而对于交联的过程则相对较复杂些比如在理论上、实践的操作性上、原料的合成上相对复杂些。随着资源的拮据产生,往往会加入许多的回收料,对原有原料的性质就产生了更大的影响,后期工作更加艰巨。加之PVC 属于老牌的化工产品,各种工艺的生产都有很大的市场,然而PVC 的耐热问题一直存在,两种方向有着优点。现在已经许多实验室将两个方向融合起来,从加工和后期工作中进行工作、还有通过将耐热助剂也加入到树脂中来促进其余PVC 的相容性来使得PVC 具有更加的耐热性能。提到世界石油的紧张对于现在的发展趋势就是将热可逆交联的原理运用到PVC 的行业中,但还有解决许多的问题。
关键词:聚乙烯蜡、氧化聚乙烯蜡、进口聚乙烯蜡、进口聚乙烯蜡厂家、专业聚乙烯蜡生产厂家、聚乙烯蜡制造商、塑料助剂、DBM、SBM、光亮分散润滑剂、EBS、赛诺助剂、木塑助剂、聚丙烯蜡、EVA蜡、茂金属蜡、微粉蜡、裂解蜡、聚乙烯蜡品牌、聚乙烯蜡厂商、青岛聚乙烯蜡、专业聚乙烯蜡











